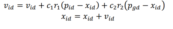
As it needs more details: This question is aboutEvolutionary Algorithms. Briefly, in Particle Swarm Optimizationalgorithms a particle is influenced by Best particle, particle Bestand inertia coefficients through iterations. It just asks give adetailed answer if particles in PSO can behave independently (orcant). The expert who answers this question has to know theEvolutionary Algorithms and how they work. This is a theoricalproblem not a code based problem. I uploaded a simple picture toshow how PSO works. If you need more information about what is PSOyou can just google it and read PDFs.

Swarm intelligence based algorithms
PayPal Gateway not configured
PayPal Gateway not configured