Course Solutions Uncategorized (Solved) : Loop Invariant Program Loop Variant Pass Premises Q36246617 . . . .

(Solved) : Loop Invariant Program Loop Variant Pass Premises Q36246617 . . . .

 

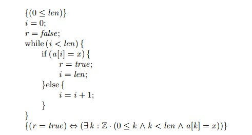
What is the loop INVARIANT for this program? The loop varianthas to pass the premises:

loop {P) [U] while (b) (Sj1 S fQ)

(0 S len)) i=0; r false; while (i < len) { if (a ] r) { r = true; i = len; else r true)

loop {P) [U] while (b) (Sj1 S fQ) (0 S len)) i=0; r false; while (i < len) { if (a ] r) { r = true; i = len; else r true) Show transcribed image text

Expert Answer


An answer will be send to you

OR

PayPal Gateway not configured

OR

PayPal Gateway not configured

Leave a Reply

Your email address will not be published. Required fields are marked *

Related Post

Question Discuss Cili Cases Filed Emergency Services Agencies Significant Frequent Concern Q34320733Question Discuss Cili Cases Filed Emergency Services Agencies Significant Frequent Concern Q34320733

<br/><img src="https://media.cheggcdn.com/media%2F4a2%2F4a2c93ed-6a74-4c78-84be-eb16dbaedd0b%2Fimage.png" alt="Question to discuss: Why are cili cases filed against emergency services agencies a more significant or more frequent concern for those agencies than criminal cases?" aria-describedby="a6t"/>Question to discuss: