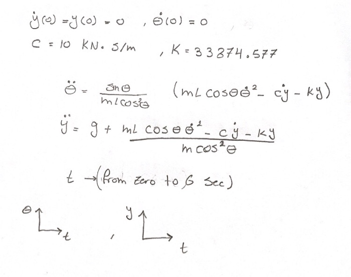
SIMULINK in MATLAB, (detailed solution)
If h = 1.8 m, L = 1.5 m, m = 40 kg, b = 3 m, D = 62 mm, d= 55 mm, use SIMULINK to simulate the system, and determine System response when starting from initial angular positions of 70°. System response when starting from initial angular
PayPal Gateway not configured
PayPal Gateway not configured