
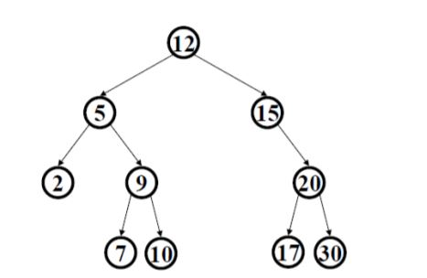
a. How would you delete 7?
b. How would you delete 15?
c. How would you delete 5?
d. Delete node 5 with procedure above. Cross out nodes that aredeleted and values that are updated.
e. . Delete node 10 with procedure above. Cross out nodes thatare deleted and values that are updated.
12 15 Show transcribed image text
Expert Answer
An answer will be send to you shortly. . . . .