Course Solutions Uncategorized (Solved) : Mgt 101 Introduction Computing Chapter 5 Review Involves Updating One Databases New Transa Q27624935 . . . .

(Solved) : Mgt 101 Introduction Computing Chapter 5 Review Involves Updating One Databases New Transa Q27624935 . . . .

 

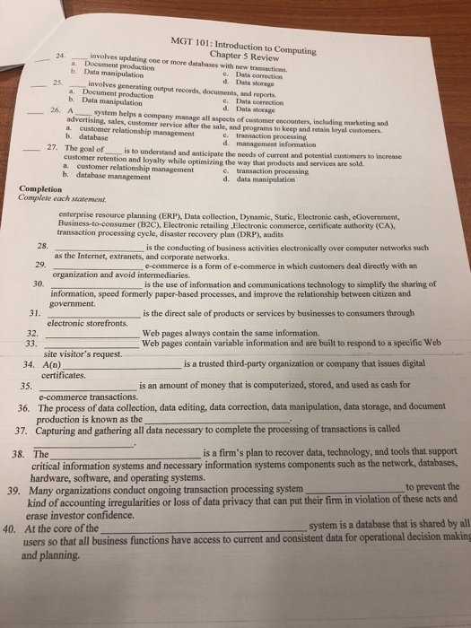
MGT 101: Introduction to Computing Chapter 5 Review involves updating one or more databases with new transactions 24. a. Document production b. Data manipulation involves generating output records, documents, and reports c. Data correction d. Data storage 25. a. Document production b. Data manipulation c. Data correction d. Data storage 26. A advertising, sales, customer service after the sale, and programs to keep and retain loyal customers. a. customer relationship management b. database system helps a company manage all aspects of customer encounters, including marketing and c. transaction processing d. management information 27ยท The goal of customer retention 

<div class=

OR

PayPal Gateway not configured

OR

PayPal Gateway not configured

Leave a Reply

Your email address will not be published. Required fields are marked *

Related Post

(Solved) : Exercise 51 Find Satisfiable Formula F Predicate Logic Identity Every Model F Iual2 Ig Exe Q26207144 . . . .(Solved) : Exercise 51 Find Satisfiable Formula F Predicate Logic Identity Every Model F Iual2 Ig Exe Q26207144 . . . .

Please answer this question<br/><img src="https://media.cheggcdn.com/media%2F204%2F204b0ebf-b61a-4db8-800c-dd6d114486d5%2Fimage" alt="Exercise 51: Find a satisfiable formula F of predicate logic with identity such that for every model A of F, IUAl2. ig This exercise seems