
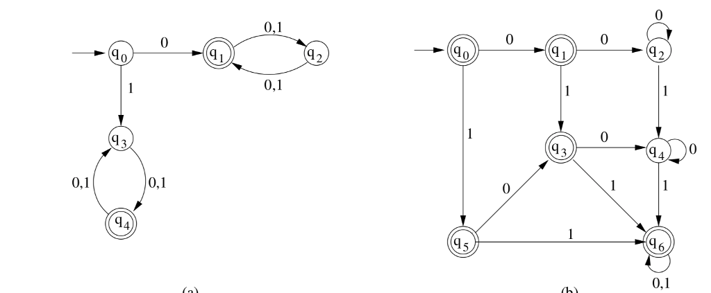
What are the languages of these DFAs and How can I detect them?Example: Consist of pair of 1’s etc..
0 0 0 0 0,1 0 9 0,1 0,1 4 0,1 Show transcribed image text
Expert Answer
An answer will be send to you shortly. . . . .

What are the languages of these DFAs and How can I detect them?Example: Consist of pair of 1’s etc..
0 0 0 0 0,1 0 9 0,1 0,1 4 0,1 Show transcribed image text
An answer will be send to you shortly. . . . .