
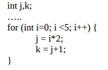
Write the Y86 assembly language code for this C program.
int j,k; for (int i=0; i <5; i++) { j = i*2; Show transcribed image text
Expert Answer
An answer will be send to you shortly. . . . .

Write the Y86 assembly language code for this C program.
int j,k; for (int i=0; i <5; i++) { j = i*2; Show transcribed image text
An answer will be send to you shortly. . . . .