Course Solutions Uncategorized (Solved) : Functions F X 9cos 2x G X Cos 2x Orthogonal F X G X Dx 0 Q30603555 . . . .

(Solved) : Functions F X 9cos 2x G X Cos 2x Orthogonal F X G X Dx 0 Q30603555 . . . .

 

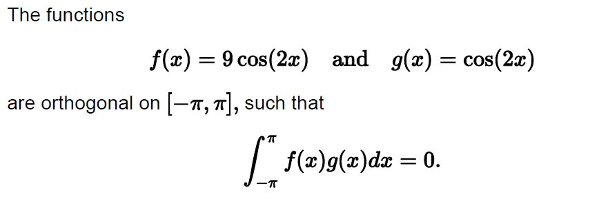
The functions f(x)=9cos(2x) and g(x)=cos(2x) are orthogonal on-π, π], such that f(x) g(x)dx = 0.

True or False and why?

The functions f(x)=9cos(2x) and g(x)=cos(2x) are orthogonal on-π, π], such that f(x) g(x)dx = 0. Show transcribed image text

Expert Answer


An answer will be send to you shortly. . . . .

Leave a Reply

Your email address will not be published. Required fields are marked *

Related Post

(Solved) : P3 Program Properly Work Ng Monitor Solution Fr Bounded Buffer Semaphore Initial Zation Re Q36057177 . . . .(Solved) : P3 Program Properly Work Ng Monitor Solution Fr Bounded Buffer Semaphore Initial Zation Re Q36057177 . . . .

<p>I need help with the following question</p><p><img alt="P3: The program below is a properly workıng monitor solution fr a bounded buffer, but semaphore initialızation has been remov" src="https://media.cheggcdn.com/media%2F519%2F5192ce47-0afe-4a29-90e9-ab1035cdfae7%2FphpFbKDdN.png" style="height:722px;width:745px;" aria-describedby="d3f"/></p>P3: