Course Solutions Uncategorized (Solved) : Following Functions O N F N N N G N Ninn H N Nelinn 11 N 2 Q32043719 . . . .

(Solved) : Following Functions O N F N N N G N Ninn H N Nelinn 11 N 2 Q32043719 . . . .

 

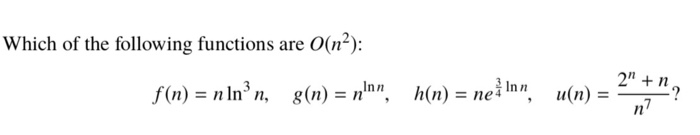
Which of the following functions are O(n): f(n) = n in n, g(n) = nInn, h(n) = nelinn, 11(n) =ー+2,Which of the following functions are O(n): f(n) = n in’ n, g(n) = nInn, h(n) = nelinn, 11(n) =ー+2, Show transcribed image text

Expert Answer


An answer will be send to you shortly. . . . .

Leave a Reply

Your email address will not be published. Required fields are marked *

Related Post

(Solved) : C Program C Graphics One Rough Help Appreciated Especially Displayletter Function Q34867852 . . . .(Solved) : C Program C Graphics One Rough Help Appreciated Especially Displayletter Function Q34867852 . . . .

<p>C++ program/C++ Graphics: This one is rough. Any help isappreciated! Especially with the displayLetter function!</p><p><img alt="" src="https://media.cheggcdn.com/media%2F57f%2F57fed04e-3d22-4a70-a0b5-75fe2985ea89%2FphplsHHD7.png" style="height:499px;width:1024px;" aria-describedby="d3f"/><img alt="stamp.bmp In the example, 6 ounces was entered for the weight.