-
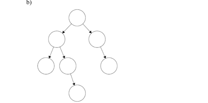
For the following binary search trees, is it possible to colorit as a valid red-black tree? If so, provide a red-black treecoloring and justify your answer.

b) Show transcribed image text
Expert Answer
An answer will be send to you shortly. . . . .
For the following binary search trees, is it possible to colorit as a valid red-black tree? If so, provide a red-black treecoloring and justify your answer.

b) Show transcribed image text
An answer will be send to you shortly. . . . .