Find that right hand side is equal to left hand side
Convert this code into python and then compare result
If your left hand side is not equal to right hand side then findthe error into your code

values
a = 2.0
b = 1.0
c = 2.0
d = 3.0
at the end print both left hand side and right hand side
for example
print lefthand
print righthand
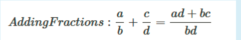
a cadbc Adding Fractions : ^ bd Show transcribed image text
Expert Answer
An answer will be send to you shortly. . . . .