


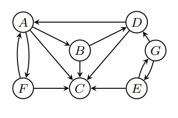
We were unable to transcribe this imageClassify the edges of the graph shown in Figure 1 as one of “tree,” “back” “cross,” or “descendant” (also called “forward” or “frond”), with E as the starting vertex under two assumptions about the adjacency-list order: Each adjacency list is
PayPal Gateway not configured
PayPal Gateway not configured