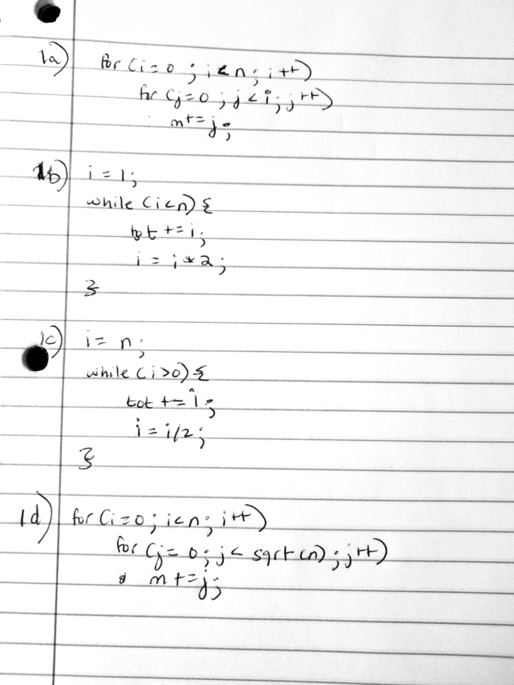
Calculate the time complexity (i.e. O(1) or O(logn) or etc.) foreach. Explain your answer

ohileCien I d Show transcribed image text
Expert Answer
An answer will be send to you shortly. . . . .
Calculate the time complexity (i.e. O(1) or O(logn) or etc.) foreach. Explain your answer

ohileCien I d Show transcribed image text
An answer will be send to you shortly. . . . .