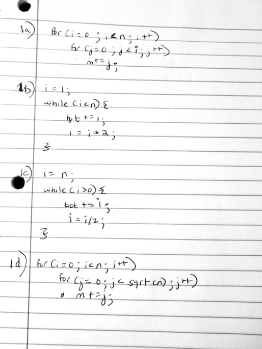
Calculate the run time for each line of each question , and listtime complexity of each problem. Thanks

ohileCien I d Show transcribed image text
Expert Answer
An answer will be send to you shortly. . . . .
Calculate the run time for each line of each question , and listtime complexity of each problem. Thanks

ohileCien I d Show transcribed image text
An answer will be send to you shortly. . . . .