
Reference for the Series:

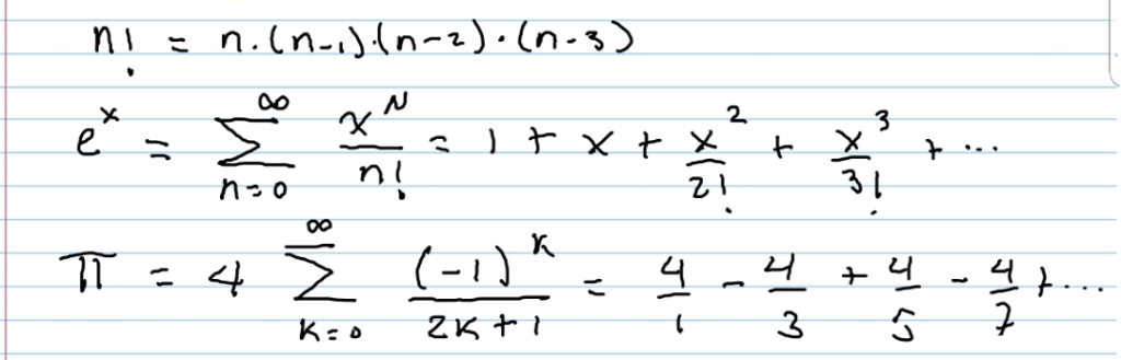
Bash script (switch & case) Create an interface that meets the following parameters: Main Menu: 1) See running user processes 2) Calculate the following: 1. Calculate the factorial of n 2. e x using Taylor expansion 3. pi using a Series 4. Exit this menu 3) Create a temporary directory 4) List Menu: 1. Enter a list 2. Find the sum of the list 3. Find the average
PayPal Gateway not configured
PayPal Gateway not configured