![一は..]and B-に:/ Find A+B where A- el 5 -2 6 -7](https://media.cheggcdn.com/media%2F813%2F813e1166-855e-44f1-a4d3-82a84e9e7912%2FphpwIU07m.png)
![3 -6 2] 4 1-5 4 -2 Find AB where A- and B](https://media.cheggcdn.com/media%2Fe62%2Fe62348af-dae0-4fec-85e5-ddbd1a09ac36%2FphpC86Nhi.png)


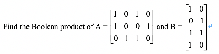
一は..]and B-に:/ Find A+B where A- el 5 -2 6 -7 3 -6 2] 4 1-5 4 -2 Find AB where A- and B 7. Using 11 0 and 0 1 1 Express
OR
PayPal Gateway not configured
OR
PayPal Gateway not configured
![一は..]and B-に:/ Find A+B where A- el 5 -2 6 -7](https://media.cheggcdn.com/media%2F813%2F813e1166-855e-44f1-a4d3-82a84e9e7912%2FphpwIU07m.png)
![3 -6 2] 4 1-5 4 -2 Find AB where A- and B](https://media.cheggcdn.com/media%2Fe62%2Fe62348af-dae0-4fec-85e5-ddbd1a09ac36%2FphpC86Nhi.png)


一は..]and B-に:/ Find A+B where A- el 5 -2 6 -7 3 -6 2] 4 1-5 4 -2 Find AB where A- and B 7. Using 11 0 and 0 1 1 Express
PayPal Gateway not configured
PayPal Gateway not configured