
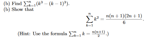
(b) Find Σ1-1 (k” _ (k-1)3). (b) Show that 5%2 = n(n + 1)(2n + 1) k-1 (Hint: Use the formula Ση-1 k-(n tl).) Show transcribed image text
Expert Answer
An answer will be send to you shortly. . . . .

(b) Find Σ1-1 (k” _ (k-1)3). (b) Show that 5%2 = n(n + 1)(2n + 1) k-1 (Hint: Use the formula Ση-1 k-(n tl).) Show transcribed image text
An answer will be send to you shortly. . . . .