Course Solutions Uncategorized (Solved) : Apply Dfs Bfs Directed Graph Dfs Show Discovery Time Finishing Time Predecessor Node Bfs S Q30683082 . . . .

(Solved) : Apply Dfs Bfs Directed Graph Dfs Show Discovery Time Finishing Time Predecessor Node Bfs S Q30683082 . . . .

 

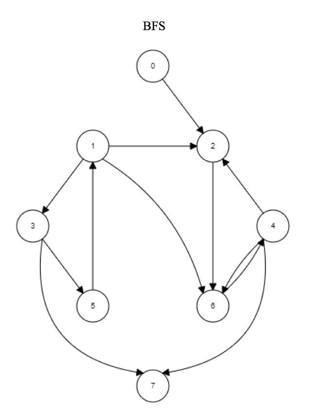
Apply DFS and BFS on the below directed graph. For DFS show thediscovery time, finishing time and the predecessor node. For BFSshow the discover time and the predecessor node. Start in both atnode 0.

DFS 2 4 7

DFS 2 4 7 Show transcribed image text

Expert Answer


An answer will be send to you shortly. . . . .

Leave a Reply

Your email address will not be published. Required fields are marked *

Related Post