Course Solutions Uncategorized (Solved) : 5 Let F Xy 3×2 Xy2 X 2u Vy D Q29685627 . . . .

(Solved) : 5 Let F Xy 3×2 Xy2 X 2u Vy D Q29685627 . . . .

 

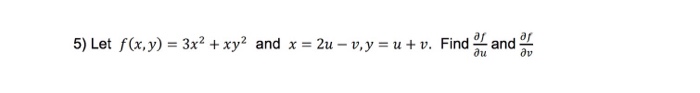
5) Let f(x.y) - 3x2 + xy2 and x - 2u - v.y - d5) Let f(x.y) – 3×2 + xy2 and x – 2u – v.y – d Show transcribed image text

Expert Answer


An answer will be send to you shortly. . . . .

Leave a Reply

Your email address will not be published. Required fields are marked *

Related Post