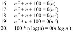
True or False

16. n24n+100-6(n) 18. n2+100 0(n 3) 19. n2100 0(n 3) 20. 100 * n log(n) (n log n) Show transcribed image text
Expert Answer
An answer will be send to you shortly. . . . .
True or False

16. n24n+100-6(n) 18. n2+100 0(n 3) 19. n2100 0(n 3) 20. 100 * n log(n) (n log n) Show transcribed image text
An answer will be send to you shortly. . . . .