
Please show all the steps for both problems. Thank you.
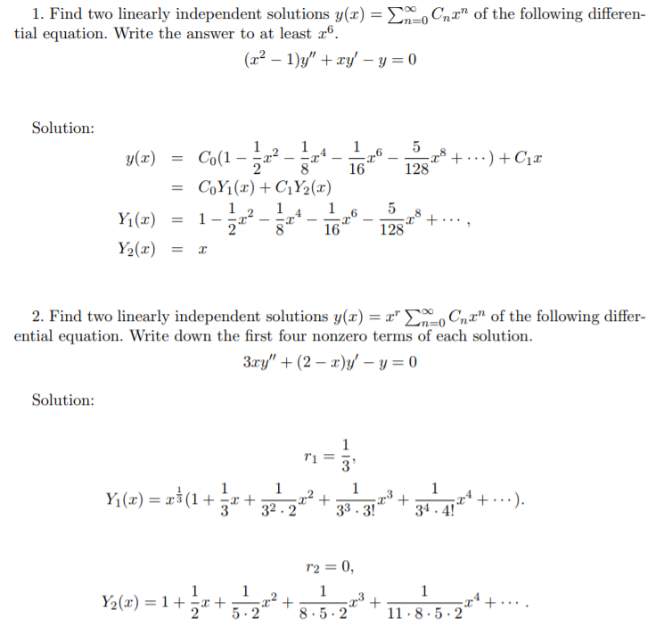
1. Find two linearly independent solutions y(x)-Σ000 Cnan of the following differen- tial equation. Write the answer to at least 6 Solution 128 2. Find two linearly independent solutions y(x) xLx0Cnr”
PayPal Gateway not configured
PayPal Gateway not configured