Course Solutions Uncategorized (Solved) : 1 Consider Initial Value Problem Dy Y 2 3 Y 1 Dr Using Ode15 Approximate Value Y 3 B Use Q29950485 . . . .

(Solved) : 1 Consider Initial Value Problem Dy Y 2 3 Y 1 Dr Using Ode15 Approximate Value Y 3 B Use Q29950485 . . . .

 

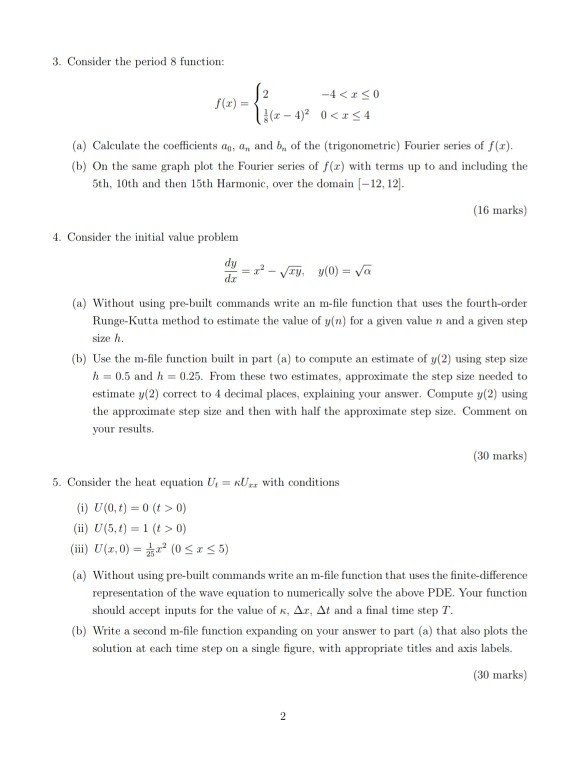
1, Consider the initial value problem dy = y(2-3), y(1) = ? dr (a) Using ode15 approximate the value of y(3). (b) Use the command dsolve to obtain the general solution of this ODE and the particular solution of the initial value problem (c) Plot the directional field of this ODE with appropriate axis labels and title (12 marks) 2. Consider the initial value problem dx ay=-0.2x +1.7?, z(0)=2?, =0.6-1.2y, y(0)=? (a) Use the command ode45 to approximate the value of (1) and y(1). (b) Use thecomand dsolve to obtain the equations r(t) and y(t) that satisfy this initial value problem (c) Plot the phase portrait of the ODE

media%2Fcb2%2Fcb2f922e-2872-41c2-89f9-c2

alpha

OR

PayPal Gateway not configured

OR

PayPal Gateway not configured

Leave a Reply

Your email address will not be published. Required fields are marked *

Related Post

(Solved) : B 5 Marks Words Write C Program Reads Line Text C String T Maximum Size 200 Program Count Q29526966 . . . .(Solved) : B 5 Marks Words Write C Program Reads Line Text C String T Maximum Size 200 Program Count Q29526966 . . . .

program for engineering c++<br/><img src="https://media.cheggcdn.com/media%2F38a%2F38a8f4a6-f77b-4c9b-8d31-96198c8fb374%2Fimage" alt="B - [5 Marks] Words: Write a C++ program that reads a line of text in a C-String t of the maximum size 200. The

(Solved) : Consider 6 Node Network Shown Given Link Costs Using Dijkstra S Algorithm Find Least Cost Q30447685 . . . .(Solved) : Consider 6 Node Network Shown Given Link Costs Using Dijkstra S Algorithm Find Least Cost Q30447685 . . . .

<p>Consider the 6-node network shown below, with the given linkcosts.</p><p><img alt="8 7 5 9 6" src="https://media.cheggcdn.com/media%2Ff83%2Ff83a18f8-5d26-425b-a4d3-757c9efa0bc6%2FphpNHxMJL.png" style="height:169px;width:401px;" aria-describedby="d3f"/></p><p>Using Dijkstra's algorithm, find the least cost path from sourcenode u to all