
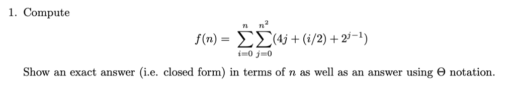
1. Compute Ti T f(n) = Σ Σ(Aj + (i/2) + 2-1) Show an exact answer (ie, closed form) in terms of n as well as an answer using Θ notation. Show transcribed image text
Expert Answer
An answer will be send to you shortly. . . . .

1. Compute Ti T f(n) = Σ Σ(Aj + (i/2) + 2-1) Show an exact answer (ie, closed form) in terms of n as well as an answer using Θ notation. Show transcribed image text
An answer will be send to you shortly. . . . .