Course Solutions Uncategorized (Solved) : 1 4 Points Let F X 3r 1 G X 2r 1 Z R Determine Quotient Remainder Upon Dividing F G R Q33201267 . . . .

(Solved) : 1 4 Points Let F X 3r 1 G X 2r 1 Z R Determine Quotient Remainder Upon Dividing F G R Q33201267 . . . .

 

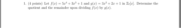
1. (4 points) Let f(x)3r 1 and g(x) 2r 1 in Z[r]. Determine the quotient and the remainder upon dividing f() by g(r)1. (4 points) Let f(x)3r 1 and g(x) 2r 1 in Z[r]. Determine the quotient and the remainder upon dividing f() by g(r) Show transcribed image text

Expert Answer


An answer will be send to you shortly. . . . .

Leave a Reply

Your email address will not be published. Required fields are marked *

Related Post