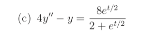
Solve the Differential Equation:

t/2 2 +et/2 Show transcribed image text
Expert AnswerÂ
A solution will be send to your mail shortly . . . .
Solve the Differential Equation:

t/2 2 +et/2 Show transcribed image text
A solution will be send to your mail shortly . . . .