
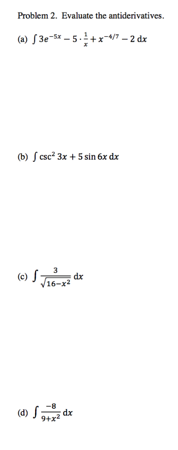
Problem 2. Evaluate the antiderivatives. (b) csc2 3x + 5 sin 6x dx ?? 16-?2 -8 dx 9+x2 Show transcribed image text
Expert Answer
A solution will be send to your mail shortly . . . .

Problem 2. Evaluate the antiderivatives. (b) csc2 3x + 5 sin 6x dx ?? 16-?2 -8 dx 9+x2 Show transcribed image text
A solution will be send to your mail shortly . . . .