12:21 blackboard.hcmiu.edu.vn 14 AB 3s EG C25 55 D 55 E 5 55 5 551395 G 6S 25 35 3 Show transcribed image text 12:21 blackboard.hcmiu.edu.vn 14 AB 3s EG C25 55 D 55 E 5 55 5 551395 G 6S 25 35 3
Expert Answer
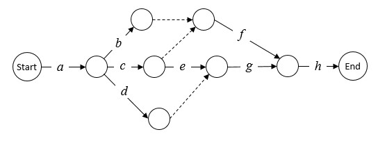
1.
AON Diagram

2.
AON to AOA diagram

Rest cannot be read and answered due to blurred image. Pleasepost with good quality image.